When you learned statistics, most of what you learned was centered around the Normal distribution. Maybe you became close friends and you later found out his birth name was Gaussian, but either way you probably just call him Normal.
You might know Normal’s a pretty popular guy with plenty of relationships with other distributions. There are some obvious connections, like how eNormal is Lognormal, but I thought I’d share some less obvious ones.
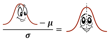
You probably already know that by subtracting his mean and dividing by his standard deviation you get Standard Normal.

What if you squared Standard Normal? In that case he’d turn right into Chi-Square(1)! And if you have 2 Standard Normal’s? Square them all and add them up and you get Chi-Square(2). In fact you can do this with any number of Standard Normal’s!

From there it gets a little more complicated. Suppose you divide that Chi-Square(2) by 2 and take the square root. Then you take Standard Normal and divide it by that, and you’re left with T(2) - yep, the same T you use to do t-tests!

Of course we could square that T(2) and suddenly we find ourselves with F(1,2) -- the same F you see at all of those ANOVA parties! But if you’re not a big fan of T and wanted to skip those last few steps, you could have just divided Chi-Square(1) by one and divided that by Chi-Square(2) divided by 2 and you still get F(1,2). So it doesn’t really matter if you were introduced by the Chi-Squares or by the T.

Normal, Standard Normal, Chi-Square, T, and F…these guys are the life of the party and it seems like just about everyone knows them. But F(1,2) has some relatives you probably don’t know. Divide him by 2, and divide that by 1 minus him divided by 2, and you’ll find yourself standing face-to-face with none other than Beta(1/2, 2)!

Beta’s a strange guy. He is so important to so many unique and exciting distributions but usually just stands off by himself trying not to get noticed. Despite all those fun friends he has, his closest relationship might be with boring old Uniform, because Beta(1/2,2) is just a square root away.

Maybe it’s not fair to call Uniform boring just because of his flat shape and simple distribution function. After all, if you really want to get Uniform excited just take the negative natural log of 1 minus Uniform, raise it to a power, and multiply everything by another number. Maybe you didn’t know he was capable of such complicated things, but if you’ll humor him you’ll suddenly find yourself face-to-face with none other than Weibull!

Now Weibull is a really exciting distribution who can take on so many forms and accommodate such a wide variety of processes that you may find him overwhelming. I highly recommend using 1 for that power when changing from Uniform, or if you can’t do that, then raise Weibull to 1 divided by the power you used. Either way you simplify him down to old-fashioned Exponential!

(Quick aside: I never see them together, but you can easily meet Logistic if you know just the right way to work with Exponential or Uniform, and Loglogistic is of course just eLogistic.)
So anyway, Exponential isn’t just a special case of Weibull – he’s a special case of Gamma as well since Exponential(λ) is just Gamma(1,1/λ). Gamma is just like Beta – I bet they’re even related somehow – as he is really important to other distributions but never likes to get up in front of people. If you can get him to talk though, he’ll probably tell you that Gamma(1,1/λ) is just Chi-Square(2) divided by 2λ. Let’s just multiply that by 2λ so we’re left with Chi-Square(2) only.

Wait a minute – didn’t we meet Chi-Square(2) earlier? Oh yeah, that’s right…we were introduced right after we squared two Standard Normal’s and added them together! Well either Standard Normal can be turned right back into Normal if we just multiply by a standard deviation and add a mean, but if we did that we’d just be left with…
…the Normal distribution.

So did we just meet 13 different distributions, or 13 variations on Normal?
Author's note: A huge thanks to our graphics guru Trevor Calabro, who turned a ridiculous blog post into a ridiculous blog post with awesome graphics!