製造業界、特に自動車関連では、標準的な能力調査用標本サイズは30個です。
どんな統計の計算でもそうですが、標本サイズはエラーに対して逆の影響になります。 標本サイズが大きくなると、エラーは小さくなります。 工程能力を評価する際は、エラーを最小限に抑えたいので、サンプルサイズを大きくしがちです。
なぜ工程能力を調査するのか?理由は3つ。
- 工程の動きを評価するため。安定しているまたは予測可能(管理内)か、不安定または予測不可能(管理外)か?
- 仕様に対する実際の工程性能と将来仕様内の部品を製造する潜在性を評価するため。
- 工程で発生し得る仕様外の部品個数を判定するため。
なぜ30個ルールなのか?
多くの人が30個の標本を、「統計的に有意」な分析にするため30個の標本が必要と誤解し、カットオフとして用います。そのため、「30」は、十分だと同意を得やすい任意数になりました。30が統計、特にt分布で、役に立っていることは事実ですが、その数字と、工程の動きを適切に評価する能力および仕様を満たす能力との間に関係はありません。残念ながら、この応用では、30は工程を適切にモデル化するには不十分です。
ご存知でしたか?自動車業界では、100個ルール!
たとえば、全米自動車産業協会(AIAG)が発行している統計的工程管理(SPC)および生産部品承認プロセス(PPAP)のマニュアルでは、初期能力調査の適切な標本サイズとして100個(20個サブグループを5グループ、または25個サブグループを4グループ)と定義しています。ただし、工程はそれぞれ異なるため、「正しい」個数は、工程の変動源によって異なります。
オンデマンドのウェビナー「分析の配信:次世代型統計的工程管理のご紹介」をご覧ください!
どうすべきか?30個?100個?多くするか少なくするか?
実験計画や仮説検定とは異なり、能力調査は統計的検出力ではなく、変動に関するものです。調査で工程の変動すべて(または最大の変動源)を適切に捉えただろうか、と。能力分析では、標本数にかかわらず、信頼区間を用いることにより、真の能力がありそうな範囲を得ることができます。 範囲が大きすぎる場合は、標本が小さすぎたかもしれません。
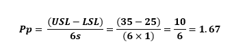
例
平均30mm、標準偏差1mmの正規分布からの理論的母集団(10,000)があると仮定します
下側仕様限界(LSL)25mmと上側仕様限界(USL)35mmで、「真の」能力(以下、わかりやすく「Pp」)は1.67です

Minitab内では、母集団全体を使用すると、PPが私達の期待通り、1.67になります。
次に、この母集団をサンプリングして得られるPpを見てみましょう。
シナリオ1:この母集団をn=30で100回サンプリングします
標本30個を用いてデータを100回サンプリングすると、下のグラフのように、大きな変動を得ます。 概して、平均Ppは1.69で「真の」値に近いものの、標本範囲は1.19~2.44でした。 標本30個の結果には多くの変動があり、Ppは実際の母集団Ppよりはるかに低く、また高くなっています。 この標本サイズのみを用いると、間違った結論に達する可能性があります。

どうやって正しいPpに近づいていることを確認すればいのか?
Pp推定値の信頼性を捉える良い方法として、Minitabの [統計] > [品質ツール] > [能力分析] > [オプション] で、信頼区間を使用します。標本30個を用いて工程を1回サンプリングし、信頼区間をオンにすると、以下の結果が得られます。

この1回の標本30個に基づいて、低いPp値の1つである1.36が得られました。これは、母集団の「真の」能力にそれほど近くなく、信頼できない別の推定値です。この数を見る限り、私達の工程で1.67の能力はないと思えます。
ですが、95%信頼区間を用いると、「真」の能力がどの辺かを見ることができます。ここの1.01(ほとんどの標準であまり能力がない)~1.71(ほとんどの標準でかなり能力がある)のような広い範囲は、工程の真の能力が何かを確信できないことを示します。標本を増やすことで、範囲を狭くすることができます。
結論
概して、標本が多いほど、真の能力をより正確に推定することができます。AIAG、SPC、PPAPのマニュアルでは、少なくとも100個の標本が推奨されています。 時に、標本の収集は困難または費用がかかることがあります。 いずれにせよ、Minitabの信頼区間を使用することで、変動性をより正確に捉え、標本サイズが小さいゆえに発生する高いミスを回避できます。
Minitab Statistical Softwareトライアル版をダウンロードしましょう