제조 분야, 특히 자동차 부품 공급 및 제조 분야에서 공정능력 연구의 표준 표본 크기는 30 또는 30개 부품입니다.
모든 통계 계산에서와 마찬가지로, 표본 크기와 오류는 반비례 관계에 있습니다. 즉, 표본 크기가 커질수록 오류는 작아집니다. 따라서 공정능력을 평가할 때 오류를 최소화하려면 표본 크기를 증대해야 합니다.공정능력 연구를 진행하는 이유는 무엇일까요? 이유는 다음 3가지입니다.
- 공정 상태를 평가하기 위해, 즉 공정이 안정적이고 예측 가능한지('제어되고 있는지'), 아니면 불안정하고 예측 불가한지('제어를 벗어났는지') 파악하기 위해
- 규격 대비 공정의 실제 성능 및 향후 규격에 맞춰 부품을 생산할 수 있는 가능성을 모두 평가하기 위해
- 공정을 통해 규격을 벗어난 부품이 몇 개나 생산될지 파악하기 위해
30의 법칙은 어디서 유래했을까요?
많은 사람들이 분석이 '통계적으로 유의미한 분석을 하려면' 표본이 30개 있어야 한다는 오해 때문에 30개를 기준으로 정하곤 합니다. 이렇게 '30'은 사람들이 대체적으로 '충분히 크다'고 동의하는 다소 임의적인 숫자가 되었습니다. 비록 30이 (특히 t-분포의 경우) 통계학에서 중요한 역할을 하기는 하나, 이 숫자와 공정 상태를 적절히 평가하는 능력과 규격을 충족하는 능력 사이에 딱히 관계는 없습니다. 유감스럽게도 이 경우에 30이라는 숫자는 공정을 모델링하기에 충분하지 않습니다.
알고 계셨나요? 실제로 자동차 산업에서는 100의 법칙이 사용됩니다!
예를 들어, Automotive Industry Action Group(AIAG)에서 발행한 통계적 공정 관리(SPC) 및 생산 부품 승인 프로세스(PPAP) 매뉴얼에서는 초기 능력 연구에 적합한 표본 크기로 100개(5개의 하위 그룹 20개 또는 4개의 하위 그룹 25개)를 정의하고 있습니다. 그러나 모든 공정은 다르기때문에, 여러분의 공정에 '적합한' 숫자는 변동의 원인에 따라 다릅니다.
주문형 웨비나 '스트리밍 분석: 차세대 SPC 소개'를 시청하세요.
그럼 뭐가 맞는 이야기일까요? 30개? 아니면 100개? 더 많아야 할까요, 아니면 더 적어야할까요?
실험계획법이나 가설 검정과 달리, 공정능력 연구에서 중요한 것은 통계적 검정력이 아닌 변동성입니다. 즉, 연구에서 공정의 모든 변동성(또는 변동성의 가장 큰 원인)을 적절하게 발견했는지가 중요합니다. 표본의 수와 관계없이 공정능력 분석에서 신뢰구간을 사용하면 실제 공정 능력의 범위를 파악할 수 있습니다. 범위가 너무 넓다면 표본 크기가 너무 작은 것일 수 있습니다.
예:
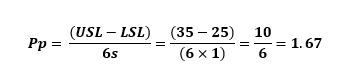
평균이 30mm이며, 표준편차가 1mm인 정규분포의 이론적 모집단(10,000)이 있다고 가정해보겠습니다.
하한 규격(LSL)이 25mm, 상한 규격(USL)이 35mm이므로 '실제' 공정능력은 1.67임을 알 수 있습니다(쉬운 예를 위해 Pp 사용).

보시다시피, Minitab에서는 예상대로 모집단 전체를 사용하여 Pp가 1.67로 도출됩니다.
그러면 이 모집단에서 표본을 추출하면 도출되는 Pp를 살펴보겠습니다.
시나리오 1: 이 모집단을 n=30으로 100번 추출합니다.
표본 30개를 사용하여 데이터를 100번 추출하는 경우, 아래 그래프에 나타났듯이 변동성이 매우 큽니다. 전반적으로 평균 Pp는 1.69입니다. 이는 '실제' 값에 가깝지만, 표본의 Pp 범위는 1.19~2.44입니다. 사실상 30개의 표본 결과에서 크나큰 변동성이 나타났으며, 도출된 Pp도 실제 모집단 Pp에 비해 더 낮거나 높았습니다. 즉, 이 표본 크기만으로는 잘못된 결론에 도달할 수 있습니다.

그렇다면 올바른 Pp에 가까운 값을 얻는 방법은 무엇일까요?
Pp 추정치의 신뢰성을 확보하는 좋은 방법은 Minitab의 신뢰구간을 사용하는 것입니다(통계분석 > 품질 도구 > 공정 능력 분석 > 옵션). 30개 표본을 사용하여 공정을 한 번 샘플링 한 다음 신뢰구간을 켜면 다음 결과가 도출됩니다.

보시다시피 30개의 표본 추출을 1회 실시하는 경우, 낮은 Pp값 중 하나인 1.36이 도출됩니다. 이는 모집단의 '실제' 공정능력과 동떨어져 있는 신뢰성 낮은 추정치입니다. 하지만 이 숫자만 보면 공정의 능력이 1.67에 미치지 못한다고 생각하게 되겠죠.
그러나 95%의 신뢰구간을 사용하면 '실제' 공정능력이 어느 수준인지 확인할 수 있습니다. 이 예에서처럼 결코 좋다고 할 수 없는 1.01부터 매우 좋은 수준인 1.71에 이르는 광범위한 수치가 도출되었다면 이 공정의 실제 능력을 확실하게 파악할 수 없다는 뜻입니다. 대다수의 표본은 이러한 범위를 좁혀줍니다.
결론
일반적으로 표본이 클수록 실제 공정능력을 정확하게 추정할 수 있습니다. AIAG SPC 및 PPAP 매뉴얼은 최소 100개의 표본을 권장합니다. 간혹 표본 수집이 어렵거나 많은 비용이 소요될 수 있습니다. 이러한 경우 Minitab의 신뢰구간을 사용하면 변동성을 보다 정확하게 파악하고 작은 표본 크기로 인해 발생할 수 있는 실수를 방지할 수 있습니다.
Minitab Statistical Software 30일 무료 평가판을 다운로드하세요

