Na estatística, os testes-t são um tipo de teste de hipóteses que permite comparar médias. Eles são chamados de testes-t porque cada um deles resume seus dados amostrais em um número, o valor-t. Se você entender como os testes-t calculam os valores-t, você estará no caminho certo para entender como esses testes funcionam.
Nesta série de posts, estou me concentrando em conceitos e não em equações para mostrar como os testes-t funcionam. No entanto, este post inclui duas equações simples sobre as quais eu vou discorrer, que usam a analogia de uma razão sinal-ruído.
O software estatístico Minitab oferece o teste-t para 1 amostra, o teste-t pareado e o teste-t para 2 amostras. Vejamos como cada um desses testes-t reduz seus dados amostrais para o valor-t.
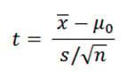
Como os testes-t para 1 amostra calculam os valores-t
Entender esse processo é crucial para saber como os testes-t funcionam. Vou mostrar a fórmula primeiro e depois explicarei como funciona.

Observe que a fórmula é uma razão. Uma analogia comum é que o valor-t é a razão sinal-ruído.
Sinal (também conhecido como o tamanho do efeito)
O numerador é o sinal. Você simplesmente pega a média amostral e subtrai o valor da hipótese nula. Se a média amostral for 10 e a hipótese nula for 6, a diferença ou sinal será 4.
Se não houver diferença entre a média amostral e o valor sob a hipótese nula, o sinal no numerador (assim como o valor da razão inteira) será igual a zero. Por exemplo, se a média da sua amostra for 6 e o valor nulo for 6, a diferença será zero.
Como a diferença entre a média amostral e a média sob a hipótese nula aumenta, seja no sentido positivo ou no negativo, a força do sinal aumenta.

Muito barulho pode sobrecarregar o sinal.
Ruído
O denominador é o barulho. A equação no denominador é uma medida de variabilidade conhecida como erro padrão da média. Essa estatística indica com que precisão sua amostra estima a média da população. Um número maior indica que sua estimativa amostral é menos precisa porque tem mais erros aleatórios.
Esse erro aleatório é o "ruído". Quando há mais ruído, você espera ver diferenças maiores entre a média amostral e o valor sob a hipótese nula, mesmo quando a hipótese nula for verdadeira. Nós incluímos o fator de ruído no denominador porque devemos determinar se o sinal é grande o suficiente para se destacar dele.
A razão sinal-ruído
Os valores de sinal e ruído estão nas unidades dos seus dados. Se o seu sinal for 6 e o ruído for 2, seu valor-t será 3. Este valor-t indica que a diferença é 3 vezes o tamanho do erro padrão. No entanto, se houver uma diferença do mesmo tamanho, mas seus dados tiverem mais variabilidade (6), seu valor-t será apenas 1. O sinal está na mesma escala do ruído.
Dessa forma, os valores-t permitem que você veja como o seu sinal é distinguível do ruído. Sinais relativamente grandes e baixos níveis de ruído produzem valores-t maiores. Se o sinal não se destacar do ruído, é provável que a diferença observada entre a estimativa amostral e o valor sob a hipótese nula se deva ao erro aleatório amostral e não a uma diferença real no nível da população.
Um teste-t pareado é apenas um teste-t para 1 amostra
Muitas pessoas estão confusas sobre quando usar um teste-t pareado e como ele funciona. Eu vou lhe contar um pequeno segredo. O teste-t pareado e o teste-t para 1 amostra são na verdade o mesmo teste! Como vimos acima, um teste-t para 1 amostra compara uma média amostral com um valor sob a hipótese nula. Um teste-t pareado simplesmente calcula a diferença entre observações emparelhadas (por exemplo, antes e depois) e, em seguida, realiza um teste-t para 1 amostra sobre as diferenças.
Você pode testar isso com esse conjunto de dados para ver como todos os resultados são idênticos, incluindo a diferença média, o valor-t, o valor-p e o intervalo de confiança da diferença.



Entender que o teste-t pareado simplesmente executa um teste-t para 1 amostra nas diferenças pareadas pode realmente ajudar você a entender como o teste-t pareado funciona e quando usá-lo. Você só precisa descobrir se faz sentido calcular a diferença entre cada par de observações.
Por exemplo, suponhamos que “antes” e “depois” representem os resultados dos testes e que houve uma intervenção entre eles. Se as pontuações antes e depois em cada linha da planilha exemplo representarem o mesmo assunto, faz sentido calcular a diferença entre as pontuações dessa maneira - o teste-t pareado é apropriado. No entanto, se as pontuações em cada linha são para assuntos diferentes, não faz sentido calcular a diferença. Nesse caso, você precisaria usar outro teste, como o teste-t para 2 amostras (que discuto abaixo).
Usar o teste-t pareado economiza o passo de calcular as diferenças antes de executar o teste-t. Você só precisa ter certeza de que as diferenças pareadas fazem sentido!
Quando for apropriado usar um teste-t pareado, ele pode ser mais poderoso do que um teste-t para 2 amostras.
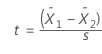
Como testes-t para duas amostras calculam valores-t
O teste-t para 2 amostras coleta seus dados amostrais de dois grupos e os resume no valor-t. O processo é muito semelhante ao teste-t para 1 amostra, e você ainda pode usar a analogia da relação sinal-ruído. Ao contrário do teste-t pareado, o teste-t para 2 amostras requer grupos independentes para cada amostra.
A fórmula está abaixo, e em seguida eu faço algumas considerações sobre isso.

Para o teste-t para 2 amostras, o numerador é novamente o sinal, que é a diferença entre as médias das duas amostras. Por exemplo, se a média do grupo 1 for 10 e a média do grupo 2 for 4, a diferença será 6.
A hipótese nula padrão para um teste-t para 2 amostras é que os dois grupos são iguais. Você pode ver na equação que quando os dois grupos são iguais, a diferença (e a razão) também será igual a zero. Como a diferença entre os dois grupos cresce em uma direção positiva ou negativa, o sinal se torna mais forte.
Em um teste-t para 2 amostras o denominador ainda é o ruído, mas o Minitab pode usar dois valores diferentes. Você pode supor que a variabilidade em ambos os grupos é igual ou diferente, e o Minitab usa a estimativa correspondente da variabilidade. De qualquer forma o princípio permanece o mesmo: você está comparando seu sinal ao ruído para ver o quanto o sinal se destaca.
Assim como com o teste-t para 1 amostra, para qualquer diferença dada no numerador, à medida que você aumenta o valor do ruído no denominador, o valor-t se torna menor. Para determinar se os grupos são diferentes, você precisa de um valor-t grande.
O que significam os valores-t?
Cada tipo de teste t usa um procedimento para resumir todos os seus dados amostrais em um valor, o valor-t. Os cálculos comparam sua(s) média(s) amostrais com a hipótese nula e incorporam o tamanho amostral e a variabilidade nos dados. Um valor-t de 0 indica que os resultados da amostra são exatamente iguais à hipótese nula. Na estatística, chamamos a diferença entre a estimativa amostral e a hipótese nula o tamanho do efeito. À medida que essa diferença aumenta, o valor absoluto do valor-t aumenta.
Tudo isso é interessante, mas o que um valor-t de 2, por exemplo, realmente significa? A partir da discussão acima, sabemos que um valor-t igual 2 indica que a diferença observada é duas vezes o tamanho da variabilidade em seus dados. No entanto, usamos testes-t para avaliar hipóteses ao invés de somente descobrir a razão sinal-ruído. Queremos determinar se o tamanho do efeito é estatisticamente significativo.
Para ver como obtemos valores-t para avaliar hipóteses e determinar a significância estatística, leia o outro post desta série, Entendendo testes-t e distribuições-t.
*Alguns dos links relacionados podem conter informações em outros idiomas